Feature support ☁️
For data and user security, some Jupyter features are not available in Jupyter Viewer for Confluence.
For your convenience, we’ve listed some of the requested notebook features and their status in the app.
If you have a use case which requires a feature that is currently not supported, please let us know!
Feature | Supported | Notes |
|---|---|---|
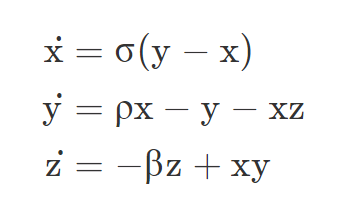
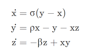
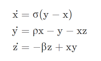
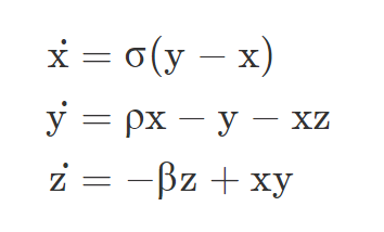
LaTeX | ✅ | Example:
CODE
renders as : ![]() |
Markdown | ✅ | Example:
renders as: ![]() Note that LaTeX within Markdown is only supported when it is wrapped within Support for LaTeX in Markdown without these delimiters is specific to the GitHub platform. ❌ NOT SUPPORTED:
CODE
✅ SUPPORTED:
CODE
|
Images - from external link | ✅ | |
Images - notebook-embedded | ✅ | |
Code highlighting | ✅ | Code highlighting is supported in many languages, not just Python. Please check our supported languages list for more information. |
ANSI console logs | ✅ | |
Jupyter/IPy widgets | ❌ | For technical implementation reasons, we currently do not support Jupyter widgets. However, there is an open request gathering interest. If you would like to see this feature added to Jupyter Viewer for Confluence, please upvote it! |
Libraries | ||
matplotlib | ✅ | |
pandas | ✅ | Ex. DataFrame tables |
plotly | ❌ | Unfortunately, plotly graphs can take many forms “behind the scenes”. These are based on either JupyterWidgets or various JavaScript implementation (see the JavaScript entry in this table). There is an open request gathering interest. If you would like to see plotly support added to Jupyter Viewer for Confluence, upvote it! Please be aware that any implementation would likely require allowing JavaScript execution in the notebook. |
Web/HTML | ||
Text modifiers | ✅ | |
iFrames | ❌ | Examples
iFrames can be misused to load JavaScript and malicious code from 3rd party sites. As the app developer, we cannot guarantee the viewing user’s browser security when iFrames are enabled. Therefore, these are disabled. |
JavaScript | ❌ | Allowing JavaScript opens the door to malicious code execution. To allow JavaScript means trusting 100% that the notebook does not include any malicious code – be it intentional (by the notebook creator) or indirect (injected via tooling). For the above security reasons, we have decided to disable JavaScript execution within the app’s notebook rendering. There is a request gathering interest to allow JavaScript. If this is important to your use, please let us know by upvoting the issue! It would also help to know how you would like to control JavaScript execution (ex. within each app macro vs. project/workspace-level authorization). |

