Release Notes March 13, 2024
We are thrilled to announce that weโve released a new version of Include GitLab for Confluence on . ๐
You will automatically get the latest version, if the app is installed in your Confluence space. The app will only need an update under Manage Apps in Confluence.
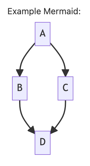
Support Rendering Mermaid files (.mmd & .mermaid)
Now supporting Mermaid file as well as Mermaid in Markdown.โจ

Rendered Mermaid Files (.mmd and .mermaid)
Improvements
Improved database encryption
Improved UI for all macros
Maintenance
Update to third party dependencies
Do you have any questions, suggestions, or problems?
Let us know. Weโre glad to help!