1.7.0
We are thrilled to announce that weโve released a new version of Include GitHub for Confluence on . ๐
Please update the app under Manage Apps in Confluence.
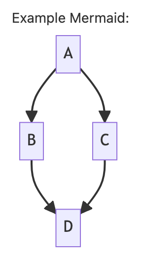
Support Rendering Mermaid files (.mmd & .mermaid)
Now supporting Mermaid file as well as Mermaid in Markdown.โจ

Rendered Mermaid Files (.mmd and .mermaid)
Improvements
Improved UI for all macros
Maintenance
Update to third party dependencies
Changelog
1.7.2: Resolved issue on
Preparation for a future version of Confluence (9)
Third party dependency updates
Add branch meta data to File Macro UI
Improve code block rendering in Markdown files
Fix Bugs:
Show error message to users with admin permissions when accessing settings only authorized for system admins
1.7.1: Resolved issue on
Fixed a crash of the app on an invalid URL
Do you have any questions, suggestions, or problems?
Let us know. Weโre glad to help!