1.3.0
We are thrilled to announce that weโve released a new version of Include GitHub for Confluence on . ๐
Please update the app under Manage Apps in Confluence.
Mermaid Support
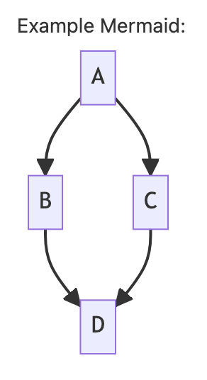
Mermaid in Markdown now supported & rendered. โจ

Rendered Mermaid in Markdown
Changelog
1.3.1: Resolved issue on
Fix: Prevent converting copy and pasted URL links to GitHub macros for non-Github links.
Do you have any questions, suggestions, or problems?
Let us know. Weโre glad to help!