Release Notes v 2.7
We’re thrilled to announce that we’ve released version 2.7 on 🎉
Download on the Atlassian Marketplace for Server and Data Center
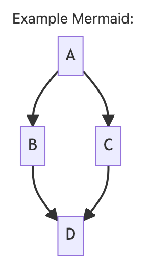
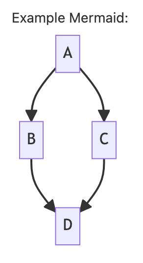
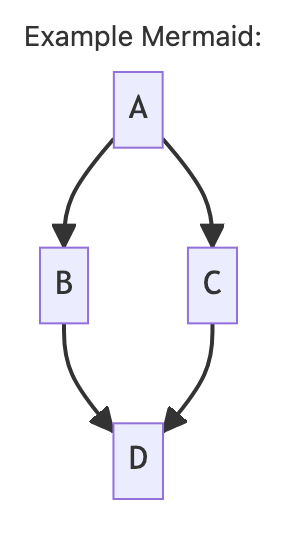
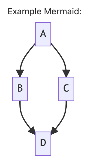
Support Rendering Mermaid files (.mmd & .mermaid)
Now supporting Mermaid file as well as Mermaid in Markdown.✨

Rendered Mermaid Files (.mmd and .mermaid)
Bug Fix
Fix bug causing image files with spaces to crash macro
v2.7.2 - released on June 14, 2024
Preparation for a future version of Confluence (9)
Third party dependency updates
Add branch meta data to File Macro UI
Fix Bugs:
Eliminate error with reStructured file syntax highlighting
Show error message to users with admin permissions when accessing settings only authorized for system admins
Fix placement of copy button in source code file macro when long lines are present
v2.7.1 - released on March 13, 2024
Macro UI improvements
Third party dependency updates