Release Notes v 2.6
We’re thrilled to announce that we’ve released version 2.6 on 🎉
Download on the Atlassian Marketplace for Server and Data Center
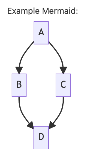
Mermaid Support
Mermaid in Markdown now supported & rendered. ✨

Rendered Mermaid in Markdown
Changelog
v2.6.7 - released on February 9, 2024
Maintenance - prep for Confluence 8.8 compatibility
v2.6.6 - released on January 9, 2024
Show the title of an AsciiDoc document
Stricter Content-Security headers for certain URLs.
v2.6.5 - released on November 23, 2023
Security updates to prevent cross side scripting injections
v2.6.4 - released on November 03, 2023
Security updates to prevent cross side scripting injection
v2.6.3 - released on October 31, 2023
Bug Fixes for Mermaid support and Table styling
v2.6.2 - released on October 13, 2023
Updates to HTML Support in Markdown including Table Styling
Improved Markdown table styling
Collapsible File Bug Fix
v2.6.1 - released on October 2, 2023
Fix bug where images in Markdown with spaces or non-ascii characters in their path name couldn’t be included.
Improve the Markdown links handling to be more consistent with Bitbucket
Supporting rendering PlanUML within AsciiDoc