Usage
You can insert and reference math expressions using Beautiful Math for Confluence using 6 different macros:
Upcoming Change: MathML Macros Decommissioning
The MathML Inline and Block macros will be removed from Beautiful Math for Confluence around December 1, 2025.
This will help us focus on improving the core LaTeX and AsciiMath macros, which are more widely used.
To continue using the app, please migrate your MathML content to LaTeX-based macros.
To help with this transition, you can use tools to convert existing MathML equations to LaTeX. One example is: mathml-to-latex GitHub Project.
Include LaTex macros
See this reference on how to use LaTeX math.
LaTeX Math Block
This macro allows you to include LaTeX math equations which will be rendered as a block macro (standalone).
Type
/Math
, select the macroLaTeX Math Block
andENTER
to add and edit the macro. Alternatively you can pick theLaTeX Math Block
macro from the macro browser.Fill in the formula using the LaTeX syntax in the formula input field.

editing the macro Latex Math Block
Note that you are not expected to type the LaTeX math delimiters by yourselves. Instead, the add-on adds the pre- and suffix characters ($$).
If you want your expressions to be numbered, put them in a \begin{equation}...\end{equation}
environment as in this example. If you don't want your equations being numbered, use the starred version \begin{equation*}...\end{equation*}.
You can configure LaTeX macros in the app settings. Read more here.
Example
Here is the raw formula of a numbered equation:
\begin{equation} x = a_0 + \cfrac{1}{a_1 + \cfrac{1}{a_2 + \cfrac{1}{a_3 + \cfrac{1}{a_4} } } } \end{equation}
Here is the rendered result:

example of an equation rendered with the LaTex Math Block macro
LaTeX Math Inline
This macro allows you to include LaTeX math inline in your text.
Type
/Math
, select the macroLaTeX Inline Block
andENTER
to add and edit the macro. Alternatively you can pick theLaTeX Math Block
macro from the macro browser.Fill in the formula using the LaTeX syntax in the formula input field.
Note that you are not expected to type the LaTeX math delimiters by yourselves. Instead, the add-on adds the pre- and suffix characters ($$).
Include AsciiMath macros
See this reference for more information about AsciiMath.
AsciiMath Block
This macro allows you to include AsciiMath math equations which will be rendered as a block macro (standalone).
Type
/Math
, select the macroAsciiMath Block
andENTER
to add and edit the macro. Alternatively you can pick theAsciiMath Block
macro from the macro browser.Fill in the formula using the AsciiMath syntax in the formula input field.

editing the macro AsciiMath Block
Note that you are not expected to type the AsciiMath delimiters (``) by yourselves. Instead, the add-on adds them for you.
Be careful that your math expressions don't look like HTML tags to the browser. As an example, please use x < y
instead of x<y
.
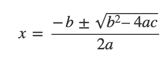
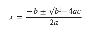
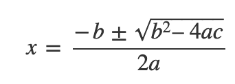
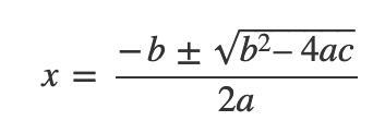
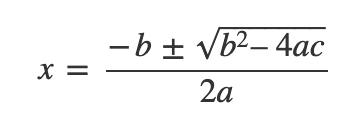
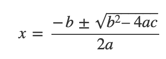
Example
Here is the raw formula of a numbered equation:
x = (-b +- sqrt(b^2 – 4ac)) / (2a)
Here is the rendered result:

example of an equation rendered with the AsciiMath Block macro
AsciiMath Inline
This macro allows you to include AsciiMath math equations which will be rendered inline in your text.
Type
/Math
, select the macroAsciiMath Inline
andENTER
to add and edit the macro. Alternatively you can pick theAsciiMath Inline
macro from the macro browser.Fill in the formula using the AsciiMath syntax in the formula input field.
Note that you are not expected to type the AsciiMath delimiters (``) by yourselves. Instead, the add-on adds them for you.
Be careful that your math expressions don't look like HTML tags to the browser. As an example, please use x < y
instead of x<y
.
Include MathML macros (to be decommissioned Q4 2025)
See this reference for more information about MathML.
MathML Block
The MathML Inline and Block macros will be decommissioned towards the end of Q4 2025.
This macro allows you to include MathML math equations which will be rendered as a block macro (standalone).
Type
/Math
, select the macroMathML Block
andENTER
to add and edit the macro. Alternatively you can pick theMathML Block
macro from the macro browser.Fill in the formula using the MathML syntax in the formula input field.
Please do not use self-closing tags, but rather explicit open and close tags. For example, instead of <mspace width="5pt"/>
use <mspace width="5pt"></mspace>
.
Note that although you can use MathML 3.0 here, not all tags are supported yet.(Optional) Select the render mode (HTML/CSS or MathML
or SVG
).
Example
Here is the raw formula of a numbered equation:
<mrow> <mi>a</mi> <mo>⁢</mo> <msup> <mi>x</mi> <mn>2</mn> </msup> <mo>+</mo> <mi>b</mi> <mo>⁢ </mo> <mi>x</mi> <mo>+</mo> <mi>c</mi> </mrow>
Here is the rendered result:

example of an equation rendered with the MathML Block macro
MathML Inline
The MathML Inline and Block macros will be decommissioned towards the end of Q4 2025.
This macro allows you to include MathML inline in your text.
Type
/Math
, select the macroMathML Inline
andENTER
to add and edit the macro. Alternatively you can pick theMathML Inline
macro from the macro browser.Fill in the formula using the MathML syntax in the formula input field.
Note that you are not expected to type the MathML tags (<math>) by yourselves. Instead, the add-on adds them for you.